构造函数
默认构造函数
C++在类的构造中有以下确定行为:
当一个类作为数据成员时,其一定会被初始化
当内置类型(int、double、char、数组、指针)作为数据成员时,默认不进行初始化
当一个类中含有虚函数,或者类继承自一个继承单链,继承了基类的虚函数。则虚函数表指针(vptr)将会被初始化
当一个类继承自虚有基类时,编译器可能会在基类中插入一个指针用于对基类进行存取操作,该指针将被初始化。
基类构造函数必定会被执行。
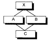
当继承自虚有基类时,更多的解释如下: 考虑以下代码: 其继承结构如下:
由于类型 A 的实际类型可变,编译器需要改变 执行存取操作的代码 ,导致 X::i 的实际偏移位置在内存中可能在运行时才能确定。cfront 最初的做法在派生类中的每一个虚有基类中插入一个指针,所有 对基类执行存取的操作 都可以通过该指针完成,此时, 其中 |
为了完成以上任务,编译器在编译器可能做出以下行为:
当类不提供构造函数时,合成默认构造函数用于执行初始化代码
当类提供了构造函数,但是没有提供默认构造函数时,编译器将会在每个构造函数前加入初始化代码。
|
拷贝构造函数
编译器在类处于以下情形时将会合成拷贝构造函数:
数据成员中包含类成员
若基类含有拷贝构造函数,则子类会合成拷贝构造函数
类中含有虚函数
类派生自一个包含虚有基类的继承链
之所以虚函数与拷贝构造函数相关,是因为对象在被拷贝时必须要重新设定vptr(而不能简单地将vptr的内容拷贝到另一个类中),这点与普通指针的 浅拷贝 不同,vptr 必须执行 深拷贝
